4. Recursive Algorithm
1) 기본
1> if-else 구문이나 while문을 사용하는 함수는 recursive하게 구현할 수 있다.
2> 자기 식 안에 자기 자신이 있는 것을 발견하면 된다.
3> 계산하는데 엄청난 시간이 걸릴 수 있다.
2) 분류
1> Direct recursion: 함수 내에서 함수 본인을 다시 호출하는 것
2> Indirect recursion: 자신을 호출한 함수를 다시 호출하는 것
3) 중요 point 2가지
1> 재귀 호출을 중단할 조건을 만든다.
2> recursive 호출을 통해 점점 원하는 결과와 가까워져야 한다.
4) 예시
자기 식 안에 자기 자신이 있는 것을 발견하면 된다.
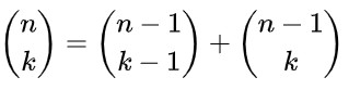
1> combination
- iterative 관점에서는 1~n의 수를 곱하는 것이지만
- recursive 관점에서는 (n-1)!에 n을 곱하는 것
- 'nCk'은 내부에 'n-1Ck-1'과 'n-1Ck'이라는 자기 자신이 있다는 것을 발견하기
=> combination 식 안에 combination이 있다.

2> factorial
- 'n!'은 내부에 (n-1)!'이라는 자기 자신이 있다는 것을 발견하기

3> binary search
- binarySearch를 하고나서 middle과 searchNum이 다르면 다시 줄어든 범위에서 binarySearch를 진행한다.

5) fibonacci
최종: 재귀를 사용해야 할 때 내가 할 것 (순서)
1) 재귀적으로 식을 구성하기
2) 중단조건 만들기
'자료구조' 카테고리의 다른 글
| 1-5강 - Performance analysis (2) 점근 표기법 (0) | 2020.03.31 |
|---|---|
| 1-5강 - Performance analysis (1) 공간 복잡도, 시간 복잡도 (0) | 2020.03.31 |
| 1-4강 - Data abstraction (0) | 2020.03.30 |
| 1-3강 - Algorithm specification (1) 선택 정렬, 이진 탐색 (0) | 2020.03.30 |
| 1-1강 - System life cycle (0) | 2020.03.18 |